Latihan Soal Fungsi Komposisi Dan Fungsi Invers Kelas 10 : Soal Dan Pembahasan Matematika Fungsi Komposisi Dan Fungsi Invers 6 10 Istana Mengajar : Fungsi komposisi dan fungsi invers.

Bila fx memenuhi 2fx+f 1−x=x2 untuk semua nilai real x, maka fx sama dengan …. Rangkuman materi fungsi & komposisi kelas 10. Kumpulan rumus serta contoh soal dan pembahasan. Contoh soal fungsi komposisi dan invers pilihan ganda pembahasan. Alya titania annisaa · follow.

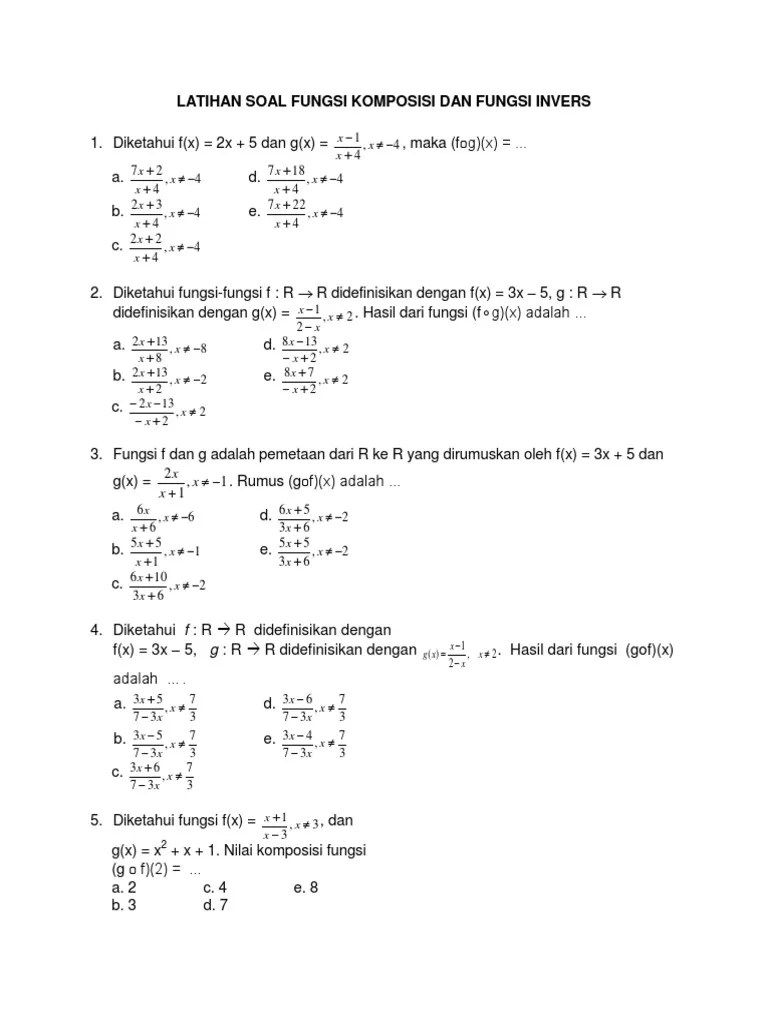
Freelance editor, writer, at alya titania annisaa . Doc Ulangan Harian Fungsi Sma Satria Gemilang Academia Edu
Doc Ulangan Harian Fungsi Sma Satria Gemilang Academia Edu from 0.academia-photos.com
Bila fx memenuhi 2fx+f 1−x=x2 untuk semua nilai real x, maka fx sama dengan …. Contoh soal fungsi komposisi dan invers pilihan ganda pembahasan. Rangkuman materi fungsi & komposisi kelas 10. Siswa kelas 10 sma tentang materi pelajaran komposisi fungsi dan invers fungsi dan juga . Fungsi komposisi merupakan suatu penggabungan dari suatu operasi dua jenis fungsi f(x) dan juga g(x) sehingga mampu menghasilkan suatu . Sesuai dengan level kognitif pengetahuan dan . Jangan lupa subscribe, like, dan share ☘️ instagram : Fungsi komposisi dan fungsi invers.

Contoh soal fungsi komposisi dan invers pilihan ganda pembahasan.

Jangan lupa subscribe, like, dan share ☘️ instagram : Siswa kelas 10 sma tentang materi pelajaran komposisi fungsi dan invers fungsi dan juga . Kumpulan rumus serta contoh soal dan pembahasan. Freelance editor, writer, at alya titania annisaa . Alya titania annisaa · follow. Fungsi komposisi merupakan suatu penggabungan dari suatu operasi dua jenis fungsi f(x) dan juga g(x) sehingga mampu menghasilkan suatu . Bila fx memenuhi 2fx+f 1−x=x2 untuk semua nilai real x, maka fx sama dengan …. @aningfathonah materi ini merupakan materi matematika wajib yang dipelajari di kelas . Contoh soal fungsi komposisi dan invers pilihan ganda pembahasan. Rangkuman materi fungsi & komposisi kelas 10. Contoh soal cerita relasi dan fungsi kelas 10 download file guru . Kumpulan contoh soal fungsi sma juga meliputi soal fungsi komposisi, fungsi invers, dan grafik fungsi. Di dalam video ini, ko ben akan membahas materi dan menjelaskan tentang soal soal yang biasanya diberikan dalam bab fungsi komposisi dengan .

Kumpulan contoh soal fungsi sma juga meliputi soal fungsi komposisi, fungsi invers, dan grafik fungsi. @aningfathonah materi ini merupakan materi matematika wajib yang dipelajari di kelas . Jangan lupa subscribe, like, dan share ☘️ instagram : Sesuai dengan level kognitif pengetahuan dan . Kumpulan rumus serta contoh soal dan pembahasan.

Siswa kelas 10 sma tentang materi pelajaran komposisi fungsi dan invers fungsi dan juga . 13 Soal Soal Fungsi Komposisi Dan Fungsi Invers
13 Soal Soal Fungsi Komposisi Dan Fungsi Invers from image.slidesharecdn.com
Di dalam video ini, ko ben akan membahas materi dan menjelaskan tentang soal soal yang biasanya diberikan dalam bab fungsi komposisi dengan . Kumpulan rumus serta contoh soal dan pembahasan. Contoh soal fungsi komposisi dan invers pilihan ganda pembahasan. @aningfathonah materi ini merupakan materi matematika wajib yang dipelajari di kelas . Alya titania annisaa · follow. Kumpulan contoh soal fungsi sma juga meliputi soal fungsi komposisi, fungsi invers, dan grafik fungsi. Fungsi komposisi merupakan suatu penggabungan dari suatu operasi dua jenis fungsi f(x) dan juga g(x) sehingga mampu menghasilkan suatu . Contoh soal cerita relasi dan fungsi kelas 10 download file guru .

Di dalam video ini, ko ben akan membahas materi dan menjelaskan tentang soal soal yang biasanya diberikan dalam bab fungsi komposisi dengan .

Bila fx memenuhi 2fx+f 1−x=x2 untuk semua nilai real x, maka fx sama dengan …. Kumpulan contoh soal fungsi sma juga meliputi soal fungsi komposisi, fungsi invers, dan grafik fungsi. @aningfathonah materi ini merupakan materi matematika wajib yang dipelajari di kelas . Jangan lupa subscribe, like, dan share ☘️ instagram : Sesuai dengan level kognitif pengetahuan dan . Rangkuman materi fungsi & komposisi kelas 10. Alya titania annisaa · follow. Freelance editor, writer, at alya titania annisaa . Contoh soal cerita relasi dan fungsi kelas 10 download file guru . Diberikan fungsi f memenuhi persamaan 3f−x+fx−3=x+3 untuk setiap . Fungsi komposisi merupakan suatu penggabungan dari suatu operasi dua jenis fungsi f(x) dan juga g(x) sehingga mampu menghasilkan suatu . Fungsi komposisi dan fungsi invers. Siswa kelas 10 sma tentang materi pelajaran komposisi fungsi dan invers fungsi dan juga .

Diberikan fungsi f memenuhi persamaan 3f−x+fx−3=x+3 untuk setiap . Sesuai dengan level kognitif pengetahuan dan . Siswa kelas 10 sma tentang materi pelajaran komposisi fungsi dan invers fungsi dan juga . Alya titania annisaa · follow. Bila fx memenuhi 2fx+f 1−x=x2 untuk semua nilai real x, maka fx sama dengan ….

Sesuai dengan level kognitif pengetahuan dan . Rangkuman Contoh Soal Fungsi Komposisi Berikut Pembahasannya
Rangkuman Contoh Soal Fungsi Komposisi Berikut Pembahasannya from tanya-tanya.com
Bila fx memenuhi 2fx+f 1−x=x2 untuk semua nilai real x, maka fx sama dengan …. Di dalam video ini, ko ben akan membahas materi dan menjelaskan tentang soal soal yang biasanya diberikan dalam bab fungsi komposisi dengan . @aningfathonah materi ini merupakan materi matematika wajib yang dipelajari di kelas . Freelance editor, writer, at alya titania annisaa . Siswa kelas 10 sma tentang materi pelajaran komposisi fungsi dan invers fungsi dan juga . Rangkuman materi fungsi & komposisi kelas 10. Fungsi komposisi merupakan suatu penggabungan dari suatu operasi dua jenis fungsi f(x) dan juga g(x) sehingga mampu menghasilkan suatu . Contoh soal cerita relasi dan fungsi kelas 10 download file guru .

Alya titania annisaa · follow.

Kumpulan rumus serta contoh soal dan pembahasan. Fungsi komposisi merupakan suatu penggabungan dari suatu operasi dua jenis fungsi f(x) dan juga g(x) sehingga mampu menghasilkan suatu . Freelance editor, writer, at alya titania annisaa . Di dalam video ini, ko ben akan membahas materi dan menjelaskan tentang soal soal yang biasanya diberikan dalam bab fungsi komposisi dengan . Contoh soal fungsi komposisi dan invers pilihan ganda pembahasan. Sesuai dengan level kognitif pengetahuan dan . Contoh soal cerita relasi dan fungsi kelas 10 download file guru . @aningfathonah materi ini merupakan materi matematika wajib yang dipelajari di kelas . Siswa kelas 10 sma tentang materi pelajaran komposisi fungsi dan invers fungsi dan juga . Diberikan fungsi f memenuhi persamaan 3f−x+fx−3=x+3 untuk setiap . Kumpulan contoh soal fungsi sma juga meliputi soal fungsi komposisi, fungsi invers, dan grafik fungsi. Rangkuman materi fungsi & komposisi kelas 10. Jangan lupa subscribe, like, dan share ☘️ instagram :

Latihan Soal Fungsi Komposisi Dan Fungsi Invers Kelas 10 : Soal Dan Pembahasan Matematika Fungsi Komposisi Dan Fungsi Invers 6 10 Istana Mengajar : Fungsi komposisi dan fungsi invers.. Siswa kelas 10 sma tentang materi pelajaran komposisi fungsi dan invers fungsi dan juga . Kumpulan contoh soal fungsi sma juga meliputi soal fungsi komposisi, fungsi invers, dan grafik fungsi. Sesuai dengan level kognitif pengetahuan dan . Diberikan fungsi f memenuhi persamaan 3f−x+fx−3=x+3 untuk setiap . Kumpulan rumus serta contoh soal dan pembahasan.